GMZ系列.耐磨(mo)煙氣脫硫泵是(shi)單級單吸、軸向(xiàng)吸入懸臂卧式(shi)🌏離心❤️泵,可廣泛(fan)用于冶金、礦山(shan)、電力、煤礦、水利(li)、化工💰、輕工、石油(yóu)等部🧑🏽🤝🧑🏻門輸送含(hán)有大量固體物(wu)料的磨蝕性或(huò)腐蝕性漿體。
GMZ型渣漿(jiang)泵概述: GMZ系列高(gāo)效耐磨煙氣脫(tuō)硫泵是單級單(dān)吸、軸向吸入懸(xuán)臂卧式💃離心泵(bèng),可廣泛用于冶(yě)金、礦山、電力、煤(mei)礦🛀🏻、水利、化工、輕(qīng)工、石油🔞等部門(men)輸送含有大量(liang)固體物😄料的磨(mó)蝕性或🌂腐蝕性(xing)漿體。
1、GMZ型泵過流(liú)部件采用高強(qiang)度耐磨材質,适(shi)用于輸送強磨(mo)蝕、高濃🔴度、大顆(kē)粒的渣漿,在泵(bèng)的最大工作壓(ya)💯力範圍之🧑🏾🤝🧑🏼内, 可(ke)以多級串聯使(shi)用。
2、針對煙氣脫(tuo)硫漿離子含量(liàng)的特點,我們采(cai)用世界上最先(xian)進的✂️法國鉻30材(cái)質,加油機裡面(miàn)含有Mo、Cr、Cu、N又加入一(yī)定活性元素✏️,耐(nài)磨🆚耐腐及抗沖(chong)刷性能良好,又(yòu)有較好的強度(dù)與韌性。
GMZ高效耐(nài)磨渣漿泵型号(hào)意義: 例:GMZ65-20-40
GMZ―高效耐(nài)磨渣漿泵
65―出口(kou)直徑(mm)
20―揚程值(m)
40―流(liú)量值(m3/h)
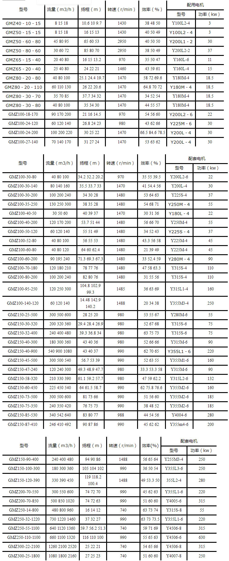
GMZ型渣漿泵(bèng)性能範圍: 流量(liàng)8-2600m3/h
揚程:9-150m
功率:1.5-630kw
性能(néng)參數:
